Is zero a rational number? Can you write it in the form.
where p and q are integers and
q ≠ 0?
Yes, zero is a rational number. We can write it in the form
denominator q can also be taken as negative integer.
Find six rational numbers between 3 and 4.
SOLUTION:We have,
Thus, the six rational numbers between 3 and 4 are
Find five rational numbers between
and
.
Since, we need to find five rational numbers, therefore, multiply numerator and denominator by 6.
State whether the following statements are true or false. Give reasons for your answers.
(i) Every natural number is a whole number.
(ii) Every integer is a whole number.
(iii) Every rational number is a whole number.
(i) True, ∴ The collection of all natural numbers and 0 is called whole numbers.
(ii) False, ∴ Negative integers are not whole numbers.
(iii) False, ∴ Rational numbers of the form p/q, q15≠15and q does not divide p completely are not whole numbers.
State whether the following statements are true or false. Justify your answers.
(i) Every irrational number is a real number.
(ii) Every point on the number line is of the form
where m is a natural number.
(iii) Every real number is an irrational number.
(i) True; because all rational numbers and all irrational numbers form the group (collection) of real numbers.
(ii) False; because negative numbers cannot be the square root of any natural number.
(iii)False; because rational numbers are also a part of real numbers.
Are the square roots of all positive integers irrational? If not, give an example of the square root of a number that is a rational number.
SOLUTION:No, if we take a positive integer, say 9, its square root is 3, which is a rational number.
Q 7.Show how
can be represented on the number line.
Draw a line on x-axis and take point O and A on it such that OA = 1 unit. Draw
BA ⊥ OA as BA = 1 unit. Join OB
Now draw BB1 ⊥ OB such that BB1 = 1 unit. Join
OB1
units.
Next, draw B3 B3 ⊥ OB3 such that
B3B3 = 1 unit. Join OB2
units. Again draw B3B3 ⊥ OB3
such that B3B3 = 1 unit. Join O B3
units.
Take O as centre and OB3 as radius, draw an arc which cuts x-axis at D. Point D represents the number
on x-axis
Take a large sheet of paper and construct the ‘square root spiral’ in the following fashion. Start with a point O and draw a line segment OP1 of unit length. Draw a line segment P1P2,
perpendicular to OP1 of unit length (see given figure). Now draw a line segment P2 163 perpendicular to OP2. Then draw a line segment P3 164 perpendicular to OP3. Continuing in this manner, you
can get the line segment Pn–1Pn by drawing a line segment of unit length perpendicular to OPn –1. In this manner, you will have created the points P2, P3, ., 16n, .., and joined them to create a
beautiful spiral depiciting
can be represented on the number line.
Do it yourself
Write the following in decimal form and say what kind of decimal expansion each has :
(i)
(ii)
(iii)
(iv)
(v)
(vi)
(i) We have,
∴ The decimal expansion of
is terminating.
(ii) Dividing 1 by 11, we have
Thus, the decimal expansion is non-terminating repeating.
(iii)
we have
Thus, the decimal expansion is terminating.
(iv) Dividing 3 by 13, we get
we have
Here, the repeating block of digits is 230769
Thus, the decimal expansion of
is non-terminating repeating.
(v) Dividing 2 by 11, we have
Here, the repeating block of digits is 18.
(vi) Dividing 329 by 400, we have
Thus, the decimal expansion of
is terminating.
You know that
Can you predict what the decimal expansions of
are, without actually doing the long division? If so, how?
We are given that
Thus, without actually doing the long division we can predict the decimal expansions of the given rational numbers.
Express the following in the form
where p and q are integers and q ≠ 0.
(i)
(ii)
(iii)
(i) Let,
(1)
Multiplying (1) by 10 both sides, we get [As there is only one repeating digit]
10x = (0.666.) x 10
⇒ 10x = 6.6666.. (2)
Subtracting (1) from (2), we get
10x – x = 6.6666. – 0.6666.
⇒ 9x = 6
(ii) Let,
(1)
Multiplying (1) by 10 both sides, we get [As there is only one repeating digit]
⇒ 10x = 10 x (0.4777.)
⇒ 10x = 4.777. (2)
Subtracting (1) from (2), we get
10x – x = 4.777.. – 0.4777..
(iii) Let,
(1)
Multiplying (1) by 1000 both sides, we get
[As there are 3 repeating digits]
⇒ 1000 x = 1.001001.. (2)
Subtracting (1) from (2), we get
1000x – x = (1.001...) – (0.001...)
Express 0.99999... in the form
Are you surprised by your answer? With your teacher and classmates discuss why the answer makes sense.
Let x = 0.99999....
. (i)
Multiplying (i) by 10 both sides, we get [As there is only one repeating digit]
10 x x = 10 x (0.99999.)
⇒ 10x = 9.9999 .. (ii)
Subtracting (i) from (ii), we get
10x – x = (9.9999.) – (0.9999.)
Thus, 0.9999. = 1
As 0.9999. goes on forever, there is no gap between 1 and 0.9999. .
Hence, both are equal.
What can the maximum number of digits be in the repeating block of digits in the decimal expansion of
Perform the division to check your answer.
Since, the number of entries in the repeating block of digits is less than the divisor.
In
. the divisor is 17.
M∴ The maximum number of digits in the repeating block is 16. To perform the long division, we have
The remainder 1 is the same digit from which we started the division.
Thus, there are 16 digits in the repeating block in the decimal expansion of
Hence, our answer is verified
Look at several examples of rational numbers in the form
where p and q are integers with no common factors other than 1 and having terminating decimal representations
(expansions). Can you guess what property q must satisfy?
Let us look decimal expansion of the following terminating rational numbers:
We observe that the prime factorisation of q (i.e. denominator) has only powers of 2 or powers of 5 or powers of both.
Write three numbers whose decimal expansions are non-terminating non-recurring.
SOLUTION:
Find three different irrational numbers between the rational numbers
We have,
Three irrational numbers between
and
are
(i) 0.750750075000750.
(ii) 0.767076700767000767.
(iii) 0.78080078008000780.
Classify the following numbers as rational or irrational.
(i)
(ii)
(iii)0.3796
(iv) 7.478478.
(v) 1.101001000100001.
(i) ∴ 23 is not a perfect square.
∴
is an irrational number.
(ii) ∴ 225 = 15 x 15 = 15²
∴ 225 is a perfect square.
Thus,
is a rational number.
(iii) ∴ 0.3796 is a terminating decimal.
∴ It is a rational number.
(iv) 7.478478. =
Since,
is a non-terminating recurring (repeating) decimal.
∴ It is a rational number.
(v) Since, 1.101001000100001. is a non-terminating, non-repeating decimal number.
∴ It is an irrational number.
Visualise 3.765 on the number line, using successive magnification.
SOLUTION: 3.765 lies between 3 and 4.
Visualise
on the number line, using successive magnification.
Classify the following numbers as rational or irrational.
(i)
(ii)
(iii)
(iv)
(v) 2π
(i) Since, it is a difference of a rational and an irrational number.
∴
is an irrational number.
(ii)
which is a rational number.
(iii) Since
which is a rational number.
(iv) ∴ The quotient of rational and irrational number is an irrational number.
∴
is an irrational number.
(v) ∴ 2π = 2 x π = Product of a rational and an irrational number is an irrational number.
∴ 2π is an irrational number.
Simplify each of the following expressions
(i)
(ii)
(iii)
(iv)
(i)
Thus,
(ii)∴
= 32 – 3 = 9 – 3 = 6
(iii)
(iv)
= 5 – 2 = 3
Recall, π is defined as the ratio of the circumference (say c) of a circle to its diameter (say d). That is,
his seems to contradict the fact that π is irrational. How will you resolve this
contradiction ?
When we measure the length of a line with a scale or with any other device, we only get an approximate rational value, i.e. c and d both are irrational.
is irrational and hence p is irrational. Thus, there is no contradiction in saying that π is irrational.
Represent
on the number line.
Draw a line segment AB = 9.3 units and extend it to C such that BC = 1 unit.
Find mid point of AC and mark it as O.
Draw a semicircle taking O as centre and AO as radius. Draw BD ⊥ AC. Draw an arc taking B as centre and BD as radius which
cuts line at E.
BE = BD =
units.
Rationalise the denominators of the following:
(i)
(ii)
(iii)
(iv)
(i)
(ii)
(iii)
(iv)
Find:
(i) 64½
(ii) 321/5
(iii)1251/3
(i) ∵ 64 = 8 x 8 = 8²
∴ (64)1/2 = (8²)1/2 = 8(2 x 1/2) = 8
[(am)n = am x n]
(ii) 32 = 2 x 2 x 2 x 2 x 2 = 25
∴ (32)(1/5) = (25)(5 x 1/5) = 2(5 x 1/5) = 2
[(am)n = am x n]
(iii) 125 = 5 x 5 x 5 = 53
∴ (125)(1/3) = (5³)(1/3) = 53 x 1/3 = 5
[(am)n = am x n]
Find:
(i) 93/2
(ii) 322/5
(iii) 163/4
(iv) 125–1/3
(i) 9 = 3 x 3 = 3²
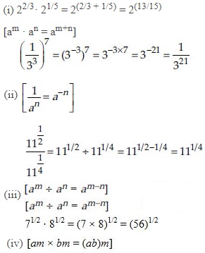
Simplify:
(i) 22/3 · 21/5
(ii)
(iii)
(iv)71/2 · 81/2
