Linear Equations Variables (Mathematics) Class 8 - NCERT Questions

Q 1.

Solve the following equations.
x – 2 = 7.

SOLUTION:

sol-1

Q 2.

Solve the following equations.
y + 3 = 10.

SOLUTION:

sol-2

Q 3.

Solve the following equations.
6 = z + 2.

SOLUTION:

sol-3

Q 4.

Solve the following equations.
3/7 + x = 17/7.

SOLUTION:

sol-4

Q 5.

Solve the following equations.
6x = 12.

SOLUTION:

sol-5

Q 6.

Solve the following equations.
t/5 = 10.

SOLUTION:

sol-6

Q 7.

Solve the following equations.
2x/3 = 18

SOLUTION:

sol-7

Q 8.

Solve the following equations.
1.6 = y/1.5

SOLUTION:

sol-8

Q 9.

Solve the following equations.
7x – 9 = 16.

SOLUTION:

sol-9

Q 10.

Solve the following equations.
14y – 8 = 13.

SOLUTION:

sol-10

Q 11.

Solve the following equations.
17 + 6p = 9.

SOLUTION:

sol-11

Q 12.

Solve the following equations.
q-15

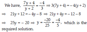
SOLUTION:

sol-12

Q 13.

If you subtract 1/2 from a number and multiply the result by 1/2, you get 1/8. What is the number?

SOLUTION:

sol-13

Q 14.

The perimeter of a rectangular swimming pool is 154 m. Its length is 2 m more than twice its breadth. What is the length and the breadth of the pool?

SOLUTION:

sol-14

Q 15.

q-15

SOLUTION:

sol-15

Q 16.

Sum of two numbers is 95. If one exceeds the other by 15, find the numbers.

SOLUTION:

sol-16

Q 17.

Two numbers are in the ratio 5 : 3. If they differ by 18, what are the numbers?

SOLUTION:

sol-17

Q 18.

Three consecutive integers add up to 51. What are these integers?

SOLUTION:

sol-18

Q 19.

The sum of three consecutive multiples of 8 is 888. Find the multiples.

SOLUTION:

sol-19

Q 20.

Three consecutive integers are such that when they are taken in increasing order and multiplied by 2, 3 and 4 respectively, they add up to 74. Find these numbers.

SOLUTION:

sol-20

Q 21.

The ages of Rahul and Haroon are in the ratio 5 : 7. Four years later the sum of their ages will be 56 years. What are their present ages?

SOLUTION:

sol-21

Q 22.

The number of boys and girls in a class are in the ratio 7 : 5. The number of boys is 8 more than the number of girls. What is the total class strength?

SOLUTION:

sol-22

Q 23.

Baichung’s father is 26 years younger than Baichung’s grandfather and 29 years older than Baichung. The sum of the ages of all three is 135 years. What is the age of each one of them?

SOLUTION:

sol-23

Q 24.

Fifteen years from now Ravi’s age will be four times his present age. What is Ravi’s present age?

SOLUTION:

sol-24

Q 25.

A rational number is such that when you multiply it by 5/2 and add 2/3 to the product you get −7/12.What is the number?

SOLUTION:

sol-25

Q 26.

Lakshmi is a cashier in a bank. She has currency notes of denomination ` 100, ` 50 and ` 10, respectively. The ratio of the number of the notes is 2 : 3 : 5. The total cash with Lakshmi is ` 4,00,000. How many notes of each denomination does she have?

SOLUTION:

sol-26

Q 27.

I have a total of ` 300 in coins of denomination ` 1, ` 2 and ` 5. The number of ` 2 coins is 3 times the number of ` 5 coins. The total number of coins is 160. How many coins of each denomination are with me?

SOLUTION:

sol-27

Q 28.

The organisers of an essay competition decide that a winner in the competition gets a prize of ` 100 and a participant who does not win gets a prize of ` 25. The total prize money distributed is ` 3,000. Find the number of winners, if the total number of participants is 63.

SOLUTION:

sol-28

Q 29.

Solve the following equations and check your results.
3x = 2x + 18.

SOLUTION:

sol-29

Q 30.

Solve the following equations and check your results.
5t – 3 = 3t – 5.

SOLUTION:

sol-30

Q 31.

Solve the following equations and check your results.
5x + 9 = 5 + 3x.

SOLUTION:

sol-31

Q 32.

Solve the following equations and check your results.
4z + 3 = 6 + 2z.

SOLUTION:

sol-32

Q 33.

Solve the following equations and check your results.
2x – 1 = 14 – x.

SOLUTION:

sol-33

Q 34.

Solve the following equations and check your results.
8x + 4 = 3(x – 1) + 7

SOLUTION:

sol-34

Q 35.

Solve the following equations and check your results.
x = 4/5(x + 10).

SOLUTION:

sol-35

Q 36.

Solve the following equations and check your results.
q-36

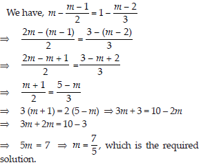
SOLUTION:

sol-36

Q 37.

Solve the following equations and check your results.
q-37

SOLUTION:

sol-37

Q 38.

Solve the following equations and check your results.
3m = 5m-8/5

SOLUTION:

sol-38

Q 39.

Amina thinks of a number and subtracts 5/2 from it. She multiplies the result by 8. The result now obtained is 3 times the same number she thought of. What is the number?

SOLUTION:

sol-39

Q 40.

A positive number is 5 times another number. If 21 is added to both the numbers, then one of the new numbers becomes twice the other new number. What are the numbers?

SOLUTION:

sol-40

Q 41.

Sum of the digits of a two-digit number is 9. When we interchange the digits, it is found that the resulting new number is greater than the original number by 27. What is the two-digit number?

SOLUTION:

sol-41

Q 42.

One of the two digits of a two digit number is three times the other digit. If you interchange the digits of this number and add the resulting number to the original number, you get 88. What is the original number?

SOLUTION:

sol-42

Q 43.

Shobo’s mother’s present age is six times Shobo’s present age. Shobo’s age five years from now will be one third of his mother’s present age. What are their present ages?

SOLUTION:

sol-43

Q 44.

There is a narrow rectangular plot, reserved for a school, in Mahuli village. The length and breadth of the plot are in the ratio 11 : 4. At the rate ` 100 per metre it will cost the village panchayat ` 75000 to fence the plot. What are the dimensions of the plot?

SOLUTION:

sol-44

Q 45.

Hasan buys two kinds of cloth materials for school uniforms, shirt material that costs him ` 50 per metre and trouser material that costs him ` 90 per m. For every 2 metres of the trouser material he buys 3 metres of the shirt material. He sells the materials at 12% and 10% profit respectively. His total sale is ` 36,660. How much trouser material did he buy?

SOLUTION:

sol-45

Q 46.

Half of a herd of deer are grazing in the field and three fourths of the remaining are playing nearby. The rest 9 are drinking water from the pond. Find the number of deer in the herd.

SOLUTION:

sol-46

Q 47.

A grandfather is ten times older than his granddaughter. He is also 54 years older than her. Find their present ages.

SOLUTION:

sol-47

Q 48.

Aman’s age is three times his son’s age. Ten years ago he was five times his son’s age. Find their present ages.

SOLUTION:

sol-48

Q 49.

Solve the following linear equations.
q-49

SOLUTION:

sol-49

Q 50.

Solve the following linear equations.
q-50

SOLUTION:

sol-50

Q 51.

Solve the following linear equations.
q-51

SOLUTION:

sol-51

Q 52.

Solve the following linear equations.
q-52

SOLUTION:

sol-52

Q 53.

Solve the following linear equations.
q-53

SOLUTION:

sol-53

Q 54.

Solve the following linear equations.
q-54

SOLUTION:

sol-54

Q 55.

Solve the following linear equations.
3(t – 3) = 5(2t + 1).

SOLUTION:

sol-55

Q 56.

Solve the following linear equations.
15(y – 4) –2(y – 9) + 5(y + 6) = 0.

SOLUTION:

sol-56

Q 57.

Solve the following linear equations.
3(5z – 7) – 2(9z – 11) = 4(8z – 13) – 17.

SOLUTION:

sol-57

Q 58.

Solve the following linear equations.
0.25(4f – 3) = 0.05(10f – 9).

SOLUTION:

sol-58

Q 59.

Solve the following linear equations.
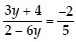
q-59

SOLUTION:

sol-59

Q 60.

Solve the following linear equations.
q-60

SOLUTION:

sol-60

Q 61.

Solve the following linear equations.

SOLUTION:

Q 62.

Solve the following linear equations.

SOLUTION:

Q 63.

Solve the following linear equations.

SOLUTION:

Q 64.

The ages of Hari and Harry are in the ratio 5 : 7. Four years from now the ratio of their ages will be 3 : 4. Find their present ages.

SOLUTION:

Q 65.

The denominator of a rational number is greater than its numerator by 8. If the numerator is increased by 17 and the denominator is decreased by 1, the number obtained is 32. Find the rational number.

SOLUTION: